اختصاصی چابک آنلاین؛
چرا مؤسسات پسانداز و مسکن باید فعال شوند؟
تصمیمی که تاریخ را تغییر میدهد درروزگاری که میلیونها خانواده ایرانی در آرزوی داشتن خانهای امن، پایدار و قابل دسترس به سر میبرند، ابزارهای قانونی و اجراییِ لازم برای تحقق این خواسته، سالهاست که مهیا شدهاند،اما پیوند میان آنان هنوز برقرار نشده است.
قانون «جهش تولید مسکن» و دستورالعمل « تأسیس، فعالیت و نظارت بر مؤسسات پسانداز و تسهیلات مسکن»، هر دو میتوانند بهصورت مکمل، حلقهی مفقوده تأمین مالی پایدار در حوزهی مسکن را پر کنند. اگر این دو سازوکار در کنار هم به کار گرفته شوند، نه تنها رؤیای خانهدار شدن اقشار متوسط و کمدرآمد دست یافتنی میشود، بلکه بخش مسکن میتواند بار دیگر موتور محرک اقتصاد ملی شود.
تشریح وضعیت فعلی و چشمانداز:
تأمین مالی مسکن در ایران بهطور سنتی عمدتاً متکی بر منابع بودجهای دولت، تسهیلات بانکی کوتاهمدت و پساندازهای غیرمتمرکز بوده است.
این مدل،پایداری لازم را برای پاسخگویی به نیازهای بلندمدت و عظیم مسکن کشور فراهم نکرده است.
درمقابل، قانون جهش تولید مسکن و دستورالعملهای مرتبط، تلاشی برای ایجاد یک ساختار تخصصی و پایدار مبتنی بر جذب پساندازهای خرد و تبدیل آنها به سرمایههای بلند مدت ساخت و ساز است.
الگویی جهانی که آماده اجراست
دربسیاری از کشورها، مؤسسات پسانداز و وام مسکن (Saving and Loan Associations) تجربهای موفق را رقم زدهاند.
این مؤسسات با تمرکز ویژه بر تأمین مالی بخش مسکن توانستند:
منابع خردمردمی رابه سرمایههای عظیم تبدیل کنند:این مؤسسات ازطریق جذب سپردههای خرد و بلند مدت شهروندان، منابع عظیمی را برای اعطای وامهای بلندمدت مسکن بسیج کردند.
باتخصصگرایی،ریسک راکاهش دهند:مرکزتخصصی دربازار مسکن، به این مؤسسات امکان داد تا در ارزیابی ریسک املاک واعتبارسنجی وامگیرندگان، تخصصی عمیقی کسب کنند و نرخ نکول (Default Rate) را درمقایسه با بانکهای تجاری عمومی، در بخش مسکن پایین نگه دارند.
چرخهای خودگردان و بدون اتکای مداوم به بودجه دولتی ایجادکنند: موفقیت اصلی این الگو، توانایی آن در ایجاد یک بازار مالی داخلی برای مسکن است که نیاز کمتری به تزریقهای مستمر دولتی دارد.
مدل عملیاتی و مالی:
مؤسسات پسانداز و وام مسکن معمولاً نسبتهای بسیار بالایی از داراییهای خود را به وامهای مسکن اختصاص میدهند.
در مدلهای استاندارد جهانی، حداقل ۷۰ تا ۸۰ درصد از کل داراییها باید در قالب وامهای رهنی (Mortgage Loans) سرمایهگذاری شود.

که در آن ( R ) نسبت تخصیص به وامهای مسکن و ۰.۷۵ نشاندهنده حد نصاب مرسوم است.
تخصصگرایی در این حوزه به بانک مرکزی اجازه میدهد تا با اطمینان بیشتری بر این نهادها نظارت کند.
انطباق ایرانی
دستورالعمل مصوب شورای پول و اعتبار در سال ۱۳۹۵، (بازنگریشده در هیأت عالی بانک مرکزی در سال ۱۴۰۳) همین هدف را دنبال میکند.
این دستورالعملها چارچوبهای نظارتی مشخصی را ترسیم کردهاند که شامل موارد زیر است:
- حداقل سرمایه: تعیین میزان سرمایهای که برای تضمین ثبات مالی اولیه الزامی است.
- نسبت کفایت سرمایه: عیاری برای سنجش توانایی مؤسسه در جذب زیانهای پیشبینی نشده است.
- چارچوب جذب سپرده:تعیین سقف نرخهای سود پرداختی به سپردهگذاران و مدت زمان سپردهها، بهگونهای که با وامهای بلندمدت مسکن همخوانی داشته باشد. (تطابق سررسیدها یا Maturity Matching)
- ساز وکار اعطای تسهیلات:تدوین قواعدی برای نرخ سود،مدت زمان بازپرداخت (که معمولاً بین ۱۵ تا ۳۰ سال است) و میزان وثیقهگذاری.
- امکان انتشار اوراق رهنی: (Mortgage-Backed Securities - MBS) این قابلیت، به مؤسسات اجازه میدهد تا با بستهبندی وامهای خود و فروش اوراق مبتنی بر آنها به بازار سرمایه، نقدینگی خود را افزایش داده و توان وامدهی را تقویت کنند.
همه اجزای فنی فراهم است؛ فقط، حلقه آغاز عملیات اجرایی باقی مانده است.
بخش دوم: تعویقی که فرصت میسوزاند
با وجود تصویب و بازنگری دستورالعملهای لازم، هنوز هیچ مؤسسهای از این نوع تأسیس نشده است.
این سکوت عملی در برابر چارچوبهای قانونی فعال، یک پارادوکس در مسیر اصلاح ساختاری اقتصاد مسکن ایجاد کرده است.
به نظر میرسد که برخلاف هدف قانونگذار، ناهماهنگی میان بخشهای اجرایی مانع از آغاز کار بوده است. برای مثال، درگاه ملی مجوزها هنوز فرمهای تقاضای تأسیس این مؤسسات را در خود ندارد.
این نبودِ یک سازوکار ساده، انسدادی نمادین ایجاد کرده است؛ گویی دروازهای برای ورود متقاضیان باز نشده است.
هزینههای فرصت از دست رفته:
هر روز تأخیر در تأسیس این مؤسسات به معنای از دست رفتن ظرفیت بالقوهای است که میتوانست برای تأمین مالی هزاران واحد مسکونی به کار گرفته شود.
فرض کنید هر مؤسسه بتواند در سال اول، منابعی به اندازه (C0) جذب کرده و با ضریب اهرمی (L) (مثلاً ( L=10)، معادل (C0*L) تسهیلات مسکن ارائه دهد.
اگر (N) مؤسسه به موقع تأسیس میشدند، حجم تسهیلات ایجاد شده به صورت زیر بود:

با فرض اینکه هر واحد مسکونی متوسطی به ( M ) تسهیلات نیاز دارد، تعداد واحدهای مسکونی قابل تأمین مالی شده در این دوره تأخیر عبارت است از:

بجای این متغیرها عدد بگذارید.
با ده موسسه 500 میلیارد ریالی که نظارتشان بسیار ساده تر از یک شعبه است شروع کنید.
متوسط مسکن ارزان قیمت را 40 میلیارد ریال در نظر بگیرید.
در سال اول 1250 واحد، در سال دوم بالغ بر 5 هزار واحد توسط 10 مؤسسه تأمین مالی شود و این میزان در 5 سال بالغ بر 50 هزار واحد مسکونی را تامین مالی خواهد کرد.
حال فرض کنید در هر مرکز استان، تنها 3 مؤسسه تأسیس شود.
این اعداد، صرفاً نشان دهنده هزینه فرصت از منظر مالی نیستند، بلکه تأثیر اجتماعی وانتظارات عمومی را نیز تحت الشعاع قرار میدهند.
به سادگی میتوان این نقیصه را برطرف کرد،کاری که نه به بودجه سنگین نیاز دارد و نه به زمان طولانی، بلکه صرفاً به تصمیمی هماهنگ و روشن نیازمند است.
تجربه نشان داده که شفافیت و گفت وگوی مستقیم با سرمایهگذاران و متخصصان، اعتماد میآورد و مسیر اقدام را هموار میکند.
بخش سوم: غفلت از ظرفیت بانکها و راهحل عملی
یکی از نکات محل مناقشه در دستورالعملهای اولیه، منع کامل سهامداری بانکهای تجاری در تأسیس این نهادهای تخصصی بود.
این رویکرد، گرچه با نیت جلوگیری از تسلط بانکها بر بازار مسکن اتخاذ شده، اما عملاً استفاده از تخصص، زیرساختهای نظارتی و سرمایههای اولیه موجود در شبکه بانکی را دشوار ساخته است.

پیشنهاد اصلاحی:
میتوان با اصلاحی منطقی، مشارکت محدود و کنترلشده بانکها تا سقف معین (مثلاً ۳۰ درصد از کل سهام) را مجاز دانست.
این سقف تضمین میکند که:
کنترل اکثریت:اکثریت سهام وتصمیمگیریهای استراتژیک همچنان دردست بخش خصوصی و سرمایهگذاران غیربانکی باقی بماند.
استفاده ازتخصص:مؤسسات جدید میتوانند از امکانات،تجربه و سامانههای اعتبارسنجی بانکها بهرهمند شوند.
تأمین مالی اولیه: بانکها میتوانند به عنوان نهادهای دارای منابع مطمئن، بخشی از سرمایه اولیه مورد نیاز را تأمین کنند.
چنین رویکردی در بسیاری از کشورهای توسعهیافته نتایج مثبتی به همراه داشته است.
استفاده از توان بانکی درکنار بخش خصوصی، موجب تسریع در جذب سرمایه، ارتقای نظارت و پایداری مالی میشود.
درحقیقت،این یک همکاری استراتژیک مبتنی بر نقشهای مشخص است، نه ادغام نهادی و بنگاهداری.
بخش چهارم: قانونی که هنوز میتواند جهش بیافریند
قانون جهش تولید مسکن، اگرچه بهصورت حقوقی فعال است، اما در اجرا به دلیل کمبود تأمین مالی پایدار، هنوز به اهداف خود نرسیده است.
بخش قابل توجهی از نیاز این قانون، تأمین مالی بلندمدت ساخت مسکن حمایتی است.
مؤسسات پسانداز و مسکن میتوانند این خلأ را پرکنند؛ چراکه طراحیشان بر تأمین منابع بلندمدت متکی است نه بر بودجههای کوتاهمدت یا تأمین مالیهای پر هزینه.
تحلیل اقتصادی مدل بلندمدت:
مدل اصلی این مؤسسات، تأمین وام با نرخ ثابت واقعی (Real Interest Rate) پایین است.
اگر نرخ تورم مورد انتظار برای مسکن در بلندمدت (π_i) باشد و نرخ سود اسمی پرداختی به سپردهگذاران (id) باشد، نرخ سود تسهیلات باید به گونهای تنظیم شود که:

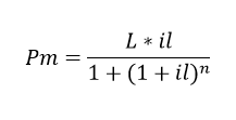
که در آن (il) نرخ سود تسهیلات است.
درمدل موفق،تلاش میشود تا با استفاده از سرمایههای سپردهای ارزان، نرخ (il) به سطح پایداری برسد که اقساط ماهانه ( Pm) برای خانوارها قابل مدیریت باشد:

که (L) اصل وام و (n) دوره بازپرداخت است.
پژوهشهای امکانسنجی نشان میدهد که مدل پیشنهادی آنها میتواند مسکنهایی با قیمت مناسب و اقساط معقول ایجاد کند، بیآنکه نیازمند یارانهی دائمی دولت باشد.
این یعنی الگویی اقتصادی و در عین حال مردم محور.
بخش پنجم: همافزایی میان دستگاهها
هرگاه سیاستهای مالی و عمرانی کشور بهصورت هماهنگ عمل کردهاند، نتایج چشمگیری حاصل شده است. در این طرح نیز هم افزایی میان نهادهای اقتصادی، مالی و شهری اهمیت بنیادین دارد.
مسئولیتهای متقاطع:
بانک مرکزی (نهاد مالی ناظر): با گشودن مسیر صدور مجوزها، تکمیل سامانه نظارتی مربوط به مؤسسات پسانداز و مسکن، و ارائه چارچوبهای اطمینانبخش، نقش خود را ایفا کند.
وزارت راه و شهرسازی (نهاد تسهیلگر): باید با تسهیل دسترسی مؤسسات تازه تأسیس به زمینهای مورد نیاز برای پروژههای انبوه سازی با نرخهای حمایتی (در صورت وجود طرحهای مشترک)، نقش خود را ایفا کند.
شهرداریها (نهاد اجرایی): باید با تسریع در فرآیند صدور مجوزهای ساخت و کاهش بوروکراسیهای غیرضروری برای پروژههایی که توسط این مؤسسات تأمین مالی میشوند، مجموعهای هماهنگ از اقدامها را شکل دهند.
هدف،ایجاد یک چرخه اعتماد وکارآمدی است؛ نه تمرکز قدرت.
اگرهرنهاد سهم خود را دراین مسئولیت ملی ایفا کند، نتیجه،رونق تولید مسکن و بازگشت امید به جامعه خواهد بود.
این هماهنگی، تضمین میکند که سرمایهای که از پسانداز مردم جذب میشود، معطل کاغذبازیهای اداری نمیماند.
بخش ششم: فراخوان ملی برای اقدام
در مقاطع حساس تاریخی، گاه یک تصمیم میتواند مسیری نو بگشاید.
شرایط امروز نیز از همین جنس است.
قانون و مقررات فراهماند، تجربه جهانی پیشِ روست و مطالبه مردمی روشن است.
تنها نیازمندیِ ماندگار، همت و تدبیر جمعی است.
اهمیت زمانبندی:
تأخیردر این فرآیند، هزینههای اجتماعی قابل توجهی را به دنبال دارد.
بازار مسکن پس از دورههای رکود، نیازمند یک شوک مثبت و پایدار برای خروج از سیکلهای نوسانی است. ورود مؤسسات پسانداز به عنوان بازیگران تخصصی، میتواند این ثبات را فراهم کند.
هر روز تأخیر در تصمیمگیری، دهها خانواده را از خانهدار شدن محروم میکند؛ اما هر گام در جهت اقدام، امید و اعتماد را به فضای اجتماعی باز میگرداند.
در چنین بستری، مسئولیت همهی تصمیمسازان، در هر سطحی،معنا پیدا میکند.
این نه یک بحث تخصصی مالی، بلکه یک ضرورت اجتماعی-اقتصادی است.
نتیجهگیری: انتخابی که تاریخ به یاد خواهد داشت
تحولات بزرگ،نه تنها درمیدان اقتصاد بلکه در وجدان عمومیِ یک ملت نیز معنا پیدا میکنند.
امروزه فرصتی در برابرماست که میتواند با تصمیمی مدبرانه، مسیرآینده مسکن در ایران را دگرگون کند. اگرارادهای واحد و عزمی ملی شکل گیرد، نسلهای آینده خواهند گفت:
«درزمانی حساس،خردجمعی و تدبیر، راه را بر روی بنبستها گشود».
بی شک، فعالسازی این سازوکار قانونی،گام عملی برای تبدیل "جهش تولید مسکن" از یک آرمان به یک واقعیت ملموس اقتصادی است.
مدیرعامل واسپاری آفتاب خاورمیانه